BCI 化工指数 通用塑料指数

常温自固化水性环氧树脂乳液的制备及性能研究

常温自固化水性环氧树脂乳液的制备及性能研究

慧正资讯2021-10-28 14:33

摘要:通过乙醇胺和双酚A环氧树脂E-20反应,在环氧树脂中引入亲水基团,然后再使用自制的乳化剂去乳化改性的环氧树脂。

浙江大桥油漆有限公司 汪庆宇

摘要:通过乙醇胺和双酚A环氧树脂E-20反应,在环氧树脂中引入亲水基团,然后再使用自制的乳化剂去乳化改性的环氧树脂。经相反转后,制备出一种热塑型的、可单组份使用的大分子环氧乳液。该乳液粒径小且均匀,粘度适中,不加固化剂也可在常温下快速成膜,并且漆膜拥有良好的力学性能。经测试,成膜性能具体表现为:硬度为H;附着力0级;抗冲击力50 cm;耐水240 h;耐酸240 h;耐碱性72 h;耐中性盐雾300 h。

关键词:大分子环氧乳液;自固化;自乳化

Synthesis and Properties Research of fast Self-curing Waterborne Epoxy Resin Emulsion

Abstract: Through the reaction of ethanolamine and bisphenol A epoxy resin E-20, hydrophilic groups are introduced into the epoxy resin, and then the self-made emulsifier is used to emulsify the modified epoxy resin. After phase reverse process, a thermoplastic macromolecular epoxy emulsion with small and uniform particle size and moderate viscosity, was prepared. The emulsion can be quickly cured at room temperature without curing agent forming a film with good mechanical properties. The performance test results: hardness, H; adhesion level, 0; impact resistance, 50 cm; water resistance, 240 h; acid resistance, 240 h; alkali resistance ,72 h; neutral salt spray resistance, 300 h.

Key words: Macromolecular epoxy emulsion; Self emulsification

 

0 引言

环氧树脂因其优异的物理化学性能,而被广泛的应用在涂料、胶黏剂和电子电器等领域。传统的环氧树脂使用以油溶性为主,需要使用大量的有机溶剂[1-3],然而,挥发性的有机溶剂在环氧涂料的生产和应用过程中,不可避免的会对大气环境和人类的生活造成污染。在人们日益增强的环保意识和世界各国日趋严格的针对挥发性有机化合物(VOC)排放的法律法规[4]的驱动下,环氧树脂水性化成为未来发展的主流和重点之一。

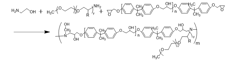
一般小分子环氧体系制备的自乳化水性环氧分散体粒径小而均匀,稳定性也好,但是合成工艺太过于复杂,而且原料的毒性过大,并且只能配合固化剂双组份使[5]。而制备单组份使用的热塑性环氧树脂的方法,通常是通过扩链小分子环氧树脂,生成玻璃化转变温度很高的高分子量环氧聚合物,而环氧树脂的分子量越大,其亲水性就越差[6]。本研究同时使用化学改性法和外加乳化剂法制备高分子环氧树脂乳液,通过对聚合物的结构设计,对环氧树脂进行扩链和亲水改性。制备出了一种可以不用配合固化剂使用,分子量大能够单组份成膜,并且合成工艺操作简单,使用的原料无毒,稳定性好,粒径小且均匀的水性环氧树脂

1 实验部分

1.1实验原料及实验仪器

双酚A环氧树脂901;双酚A环氧树脂E-51;乙醇胺;乙二醇丁醚聚醚胺M3085(单伯胺);四口烧瓶;滴液漏斗;油浴锅;搅拌机高速分散机;恒温水浴锅。

1.2自制乳化剂的制备

该乳化剂的特点是制备工艺简单,亲水性好,与环氧树脂相容性好,具体合成步骤如下:环氧树脂E-51和聚醚胺M3085按照质量比1: 3加入四口烧瓶中,放置油浴锅中115 ℃反应2.5小时,得到无色透明液体,即为乳化剂。得到的自制乳化剂结构如图1所示。

11.png

图1.制备的乳化剂的结构式

1.3改性环氧树脂的制备——扩链以及亲水改性

在配有搅拌器、温度计等的四口烧瓶中计入901环氧树脂,乙二醇丁醚,放置在油浴锅内升温至125℃,保温0.5-1 h,烧瓶内的树脂和溶剂变成均一体系后,加入聚醚胺M-3085,在125 ℃下反应2.5 h。然后降温至75℃,使用滴液漏斗滴加乙醇胺和乙二醇丁醚的混合溶液,按照0.5 ml/min的滴加速度缓慢滴加,随着反应的进行粘度越来越大,反应6 h后得到非常粘稠的微黄色液体,合成路线如图二所示。取10 g树脂使用环己酮10 g兑稀测试翻泡粘度为10-20 s可以停止反应。加入自制乳化剂,搅拌0.5 h使其均匀混合,混合后体系的粘度会略有降低。

12.png

图2.大分子环氧树脂的合成路线

1.4环氧乳液的制备

使用恒温水浴使不锈钢夹套升温至70-85℃,取上述混合物于不锈钢夹套中,开启高速分散机至1600 r/min,称取一定量80 ℃左右的去离子水于滴液漏斗中,以2~3 ml/min的速度向体系中滴加热去离子水,随着去离子水的滴加体系越来越粘稠,但是当滴加到一定的量时,体系会粘度下降变成膏状,这时体系从油包水(W/O)转变成了水包油(O/W),体系的电导率也急剧增加,这个过程称为相反转。相反转后停止滴加去离子水,在2000 r/min下分散1~2 h,滴加剩余的去离子水,可得到固含量42 %-45 %的大分子环氧乳液。

1.5 漆膜检测方法

制备的环氧乳液的涂膜性能测试按如下进行:

表干时间:按照国家标准GB/T1728-1979的要求,用指触法对各种漆膜的表干时间进行测试;

硬度:按照国标GB/T6739-2006色漆和清漆铅笔法测定漆膜硬度;

耐冲击:按照国家标准GB/T1732-1993的要求测试;

附着力:按照国家标准GB/T9286-1998的要求,采用手工划网格的方法,对不同漆膜的附着力评级;

耐水性:按照国家标准GB/T1733-1993要求测试;

耐酸性:按照国家标准GB/9274-88要求测试;

耐碱性:按照国家标准GB/9274-88要求测试;

耐盐雾:按照国家标准GB/T 10125-2012要求测试。

2 结果与讨论

2.1环氧乳液技术指标分析

通过公司目前现有设备对固含量、粘度等技术指标进行了表征。并对环氧水分散体的粒径和数均分子量进行了测试,结果如下表1所列。

表1.环氧树脂水分散体的技术指标

11.png

水性环氧树脂乳液的粒径及其分布对其成膜性能有着重要的影响。水性树脂的粘度、流动性以及成膜后的光泽很大程度上都由水性树脂的粒径决定。如图3所示,改性得到的自乳化大分子量环氧乳液的粒径都在20-80 nm之间,与市场上现有的环氧乳液(粒径在200-500 nm)相比粒径小了6-10倍。

13.png

14.png

环氧树脂乳液能够单组份成膜的前提条件是要拥有较高的玻璃化转变温度,而玻璃化转变温度又和树脂的分子量息息相关,因此,本论文通过提高树脂的相对分子量来提高树脂的玻璃化温度,以达到单组份成膜的目的。由图4可知,本论文所制备的大分子环氧树脂乳液数均分子量为9618,与实验所使用的原材料双酚A型环氧树脂E-20相比,数均分子量扩大了10倍左右。如此大的分子量已经达到了单组份成膜的要求。

2.1环氧乳液稳定性

相对于油性树脂而言,水性树脂的稳定性一般都稍差一些,所以对水性树脂的稳定性的测试是必不可少的。为了验证自制大分子环氧树脂乳液的稳定性,对其耐盐稳定性、贮存稳定性等多元化的稳定性进行了测试,结果如表2所列。

表2.环氧乳液的稳定性

15.png

2.2环氧乳液成膜性能

通过目前公司现有的设备,对自制自乳化大分子量环氧乳液单组份成膜的硬度、附着力等性能进行了了探究,结果如表3所列(常温常压下,涂层表干20-30 min,实干8-16 h)。本研究制备的水性环氧乳液不添加固化剂可以单组分成膜,并且各个温度下都有良好的漆膜性能,但是常温自干时,漆膜的硬度、耐水等不是很好。低温和高温烘干后漆膜的硬度耐水等性能有较大的提高。导致这个现象的原因是:乳液体系中含有的乙二醇丁醚较多,在乳液成膜后还有部分的乙二醇丁醚残留在漆膜内,降低了漆膜的硬度,并且导致泡水发白。

表3.环氧乳液常温下成膜性能

16.png

如表3所示,本研究制备的水性环氧乳液不添加固化剂可以单组分成膜,并且各个温度下都有良好的漆膜性能,但是常温自干时,漆膜的硬度、耐水等不是很好。低温和高温烘干后漆膜的硬度耐水等性能有较大的提高。导致这个现象的原因是:乳液体系中含有的乙二醇丁醚较多,在乳液成膜后还有部分的乙二醇丁醚残留在漆膜内,降低了漆膜的硬度,并且导致泡水发白。

表4.环氧乳液不同温度条件下固化成膜性能

17.png

3 结语

本论文通过对聚合物的结构设计,制备出了一种自乳化大分子量环氧树脂。具体实施方法是使用单胺的聚醚胺改性环氧树脂,在环氧树脂的分子结构中引入了亲水的聚醚链段,然后再使用小分子的氨基醇类物质对改性后的亲水环氧树脂进行扩链反应,得到大分子量的亲水性环氧树脂。本论文采用化学改性法制备出了水性环氧树脂具有自乳化的功能,避免了外加乳化剂导致的树脂性能下降。

本论文制备的自乳化大分子量环氧树脂乳液粒径20-80 nm、数均分子量为9618。乳液粒径小且均匀,稳定性好,且不同于双组份环氧乳液,改性的高分子量水性环氧树脂乳液可单组份成膜,涂膜的干燥性能、附着力、硬度、耐酸性、耐碱性、耐水性和耐腐蚀性能优良。在稳定性方面,针对不同酸碱、不同的温度都有较好的稳定性。

 

参考文献

[1]徐龙贵, 刘娅莉. 环氧树脂乳液及其乳化剂的进展[J]. 涂料工业,2003,33(4):35-38.

[2]张黎, 舒武炳. 水性环氧树脂体系的研究进展[ J] . 涂料工业, 2002, 32(8):28-30.

[3]Liu B, Wang Y. A novel design for water-based modified epoxy coating with anti-corrosive application properties[J]. Progress in Organic Coatings, 2014, 77(1):219–224.

[4]沈志明, 杨亚萍, 李晴,等. 水性涂料用自乳化环氧树脂乳液的制备方法[J]. 新型建筑材料,2016(8):30-34.

[5]王慧骁, 钱军, 王传鑫,等. 非离子型自乳化水性环氧乳液的制备[J]. 化工新型材料,2017(3):147-149,153.

[6]Ma C, Deng C, Zheng W. Waterbone epoxy resin modified by AMPS[J]. Journal of Wuhan University of Technology Materials Science Edition. 2007;22(4):649-652.



免责声明:买化塑研究院力求使用信息的准确、数据的可靠、所述内容及观点的客观公正,但不完全保证其准确性及完整性。据此操作所造成的损失及法律后果均应当自行承担。
分享至:

精品看市

【视点】中东冲突“蝴蝶效应” 环氧树脂、钛白粉、TDI全线飙升 下游被成本“绞杀”
化工原料的集体涨价,直接传导至下游涂料、粉末涂料、防水材料等行业

2026-03-04

【指数解读】11月涂料采购成本再降!钛白粉疲软、丙烯酸暴跌近10%!
买化塑研究院最新数据显示,11月涂料采购成本指数为71%,环比下降3个百分点,同比下降9个百分点。

2025-12-01

【指数解读】化工市场的“银十”困局 涨价推不动 跌价止不住
买化塑研究院数据显示,10月涂料采购成本指数为74%,环比下降1个百分点,同比仍下降7个百分点。

2025-11-03